梯度下降的原理及可视化

0 什么是梯度下降

梯度下降是一个很重要的算法,其核心原理是方向导数。在这一个 section 里,我将层层递进,引出梯度。

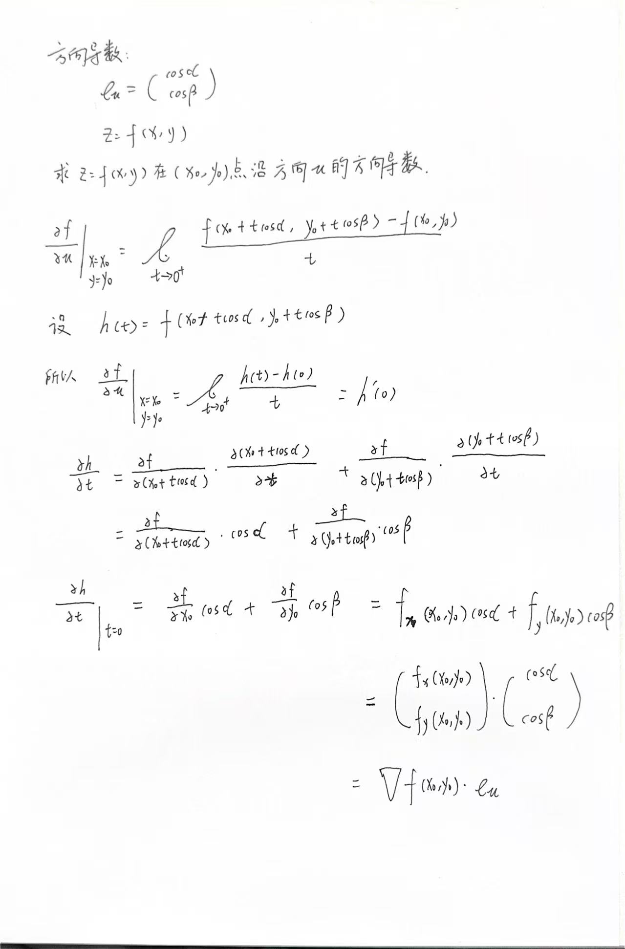
1.那么何为方向导数呢?
想象一个函数 z = f(x,y),其中 x,y是自变量,范围为全体实数,z=f(x,y)在三维坐标系内,是一个二维曲面。该曲面上有一点(x0,y0,f(x0,y0)),XOY平面上有一个单位向量 l,求这一点在 l 向量方向上的导数,即为方向导数(图1)。

directional_derivative
图1 directional_derivative (来自马同学图解数学)

2.方向导数的定义式及其计算式(图2):

directional_derivative定义式及其计算
图2 directional_derivative定义式及其计算

其中图中的 f 对 x和 y的偏导数组成的向量,即为梯度向量(Gradient)
所以方向导数=偏导数·方向向量,根据向量点乘的运算法则,方向导数=|梯度向量| * |方向向量| * cos(夹角),由于方向向量是单位向量,所以方向导数的最大值是 “|梯度向量|” 的模长,最小值是 “-|梯度向量|”的模长。

3.方向导数的几何意义
在图1中,方向导数的意义就是 z=f(x,y)在(x0,y0,f(x0,y0))点上,沿着单位向量 l 的导数。导数的意义是函数值关于自变量的变化率。一个点的导数越大说明,函数值在这个点上变化的越快。反之亦然。想象一下,我们处于下面的山峰上,如果你所处的位置关于 l 方向的方向导数是最大的(大于 0),说明沿着 l 方向上函数值的变化率是最大的(此时 l 向量与梯度向量平行),也就是最陡峭,沿着最陡峭的方向走,你将更快到达山顶。反之,如果你所处的位置关于 l 方向的方向导数是最小的(小于 0),说明沿着 l 方向上函数值的变化率是负值且是最小的(此时 l 向量与梯度向量夹角为-180 度),也就是下坡方向最陡峭,沿着这个方向走,你将更快到达山底。

当然这只是你在形状十分规则的山上的到达山顶和山底的行进方向,若是山的形状不规则呢?那你如何走呢,才能上山最快 或者 下山最快呢?
解决办法是引入一个参数:学习率 learn rate(lr)

举个例子,你当前所处的位置是(x0,y0,f(x0,y0)),梯度向量是(fx(x0,y0),fy(x0,y0)),若是追求下山最快,那么就沿着(fx(x0,y0),fy(x0,y0))方向相反的方向走,也就是加一个负号。若是追求上山最快,那么就沿着(fx(x0,y0),fy(x0,y0))方向相同的方向走。

新位置(下山最快)的计算公式就是:
new_position = (x0,y0) - lr * (fx(x0,y0),fy(x0,y0))

那学习率如何更直观的理解呢?
想象一个不规则的山(图3),从山顶有一股泉水,泉水在重力的作用下流到山底,假设不受其他情况的影响,河流的形状可能是 “S” 形的。水流是聪明的,他们会每走几步到达一个新位置(上面提到的new_position)之后就重新计算一次梯度,来指示他们的下一步行动。细心的河流走小小的一步就计算一个梯度,粗心的河流走大大的一步才计算一个梯度。小小的和大大的 指的就是 这里的学习率(lr),因为有可能每一步计算的梯度向量的方向是改变的,所以河流的形状也变成弯弯曲曲的了。

mountain
图3 mountain(created by ChatGPT)

1 梯度下降的应用

由于韩遇安/赵从文最近,在利用 cfDNA 上的甲基化的信息进行反卷积来推测各个组织的贡献(利用甲基化信息来推断组织贡献是一种比较常用的方法,利用RNA的信息也能够推断出组织贡献(或者免疫浸润的情况(有专门的R包能做这个)))。简单来说,我现在有组织 A 的甲基化参考图谱,有组织 B 的甲基化参考图谱,还有一个组织 A 和组织 B 按照一定比例混合的 mixture,利用 Non-Negative Least Squares(NNLS) 和 每种组织的甲基化参考图谱就能够推测出这个 mixture 中的 A和 B的比例。

NNLS是寻找一个最优的 x 向量,来最小化下面这个表达式(图4)。

NNLS
图4 NNLS

这个式子的含义是,通过优化 x,来使Ax-b的L2范数(就是计算向量的模长)的平方最小。并且约束条件是 x>=0。
其中 x 指的是每一种组织的比例,默认每一种组织的比例是>=0的(生物上的可解释性更强,如果出现负数,那就麻烦了,可能是暗物质,哈哈哈哈)

怎么找到一个最优的 x 呢?这里就用到了梯度下降算法。
最小化的那个式子就是山,需要求解的系数向量x就是你在山上的位置,你要每次走一小步并且不断的求梯度,直到你到达谷底(loss最小),这时候理想情况下,梯度向量为(0,0)。但是梯度向量为(0,0)的有两种可能(图5):一个是局部最优解(local optimum),一个是全局最优解(global optimum),我觉得一般情况下找到的都是局部最优解,比较难找到全局最优解(我觉得,我猜的)。

chatGPT.png
图5 局部最优和全局最优(created by ChatGPT)

2 梯度下降的代码实现及其可视化

1
2
3
4
5
6
7
8
9
10
11
12
13
14
15
16
17
18
19
20
21
22
23
24
25
26
27
28
29
30
31
32
33
34
35
36
37
38
39
40
41
42
43
44
45
46
47
48
49
50
51
52
53
54
55
56
57
58
59
60
61
62
63
64
65
66
67
68
69
70
71
72
73
74
75
76
77
78
79
80
81
82
83
84
85
86
87
88
89
90
91
92
93
94
95
96
97
98
99
100


"""

For 3D visualization of the gradient descent process, the number of reference maps must be two, corresponding to two variables. So we can plot loss as a function of these two variables (x and y) in a 3D space,
and then show the trajectory of the gradient descent on this surface. Below is an example code that simulates this process using random data for the reference maps and the mixed sample.

"""

import numpy as np
import plotly.graph_objects as go

# 模拟数据
A = np.random.rand(10, 2) # 10x2的甲基化参考图谱(A/B两种组织)
M = np.random.rand(10, 1) # 10x1的甲基化混合样本

# 梯度下降实现
def compute_loss(A, M, x, y):
return np.sum((A.dot(np.array([x, y]).T).reshape(-1, 1) - M) ** 2)

def compute_gradients(A, M, x, y):
w = np.array([[x], [y]])
diff = A @ w - M
# 梯度: ∇L = 2 * A^T * (A*w - M)
grad = 2 * A.T @ diff
return grad[0, 0], grad[1, 0]

# 梯度下降初始化
x, y = 0.5, 0.5 # 设置一下初始系数(x,y分别为 A和B的比例)
learning_rate = 0.01
iterations = 20
losses = []
x_vals, y_vals = [], []

# 生成损失函数的 3D 网格数据,就是以 x和 y自变量,计算 loss(Z)
X = np.linspace(0, 1, 50)
Y = np.linspace(0, 1, 50)
X, Y = np.meshgrid(X, Y)
Z = np.array([[compute_loss(A, M, x, y) for x, y in zip(X_row, Y_row)] for X_row, Y_row in zip(X, Y)])

# 3D 可交互图像
fig = go.Figure(data=[go.Surface(z=Z, x=X, y=Y, colorscale='Viridis', opacity=0.7)])

# 初始化最小损失点
min_loss = float('inf')
min_x, min_y = x, y

# 添加梯度下降过程的点
for i in range(iterations):
grad_x, grad_y = compute_gradients(A, M, x, y)
x -= learning_rate * grad_x
y -= learning_rate * grad_y

# 强制 x 和 y 非负
x = max(x, 0)
y = max(y, 0)

loss = compute_loss(A, M, x, y)

losses.append(loss)
x_vals.append(x)
y_vals.append(y)

# 检查是否是当前的最小损失点
if loss < min_loss:
min_loss = loss
min_x, min_y = x, y

# 颜色随着迭代次数变化,使用颜色渐变
color = f'rgba({int(255 * (i / iterations))}, 0, {int(255 * (1 - i / iterations))}, 0.8)' # 渐变色

# 在每一步的 (x, y) 上添加标记,指定颜色
fig.add_trace(go.Scatter3d(
x=[x], y=[y], z=[loss],
mode='markers',
marker=dict(size=5, color=color)
))

# 添加最小损失点,使用绿色标记
fig.add_trace(go.Scatter3d(
x=[min_x], y=[min_y], z=[min_loss],
mode='markers',
marker=dict(size=5, color='green', symbol='diamond') # 绿色点,并用菱形标记
))

# 更新布局
fig.update_layout(
title="梯度下降过程 - 交互式 3D 可视化",
scene=dict(
xaxis_title='x (组织 A 的比例)',
yaxis_title='y (组织 B 的比例)',
zaxis_title='损失函数值',
),
margin=dict(l=0, r=0, b=0, t=40)
)

# 显示图像
fig.show()


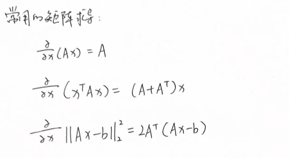
其中涉及一些矩阵求导的运算,我把三个常用的贴到下面(图6):

常用矩阵求导
图6 常用矩阵求导

这里我们使用 NNLS 时的 loss 函数是:Loss = (Ax - M)^2, 用到的是第三个求导法则,其详细求导过程如下:

example_derivative
详细求导过程

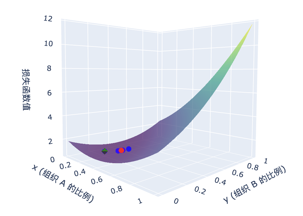
3 运行结果

远远的看
图7 远远的看
走进看
图8 走进看

我们可以看到随着迭代次数的增加,loss 的逐渐下降,并且可以看到每一次迭代的结果点,是沿着一个比较陡峭的路线下降的(图7/8)(可能是局部最优的方式),其中绿色菱形代表的是所有迭代中最优的参数组合。

这就是梯度下降算法的原理和应用咯,诸君!如有不严谨,多多包涵!

实际应用的时候,是不会有人手动实现梯度下降的,都已经集成的非常好了,可以直接import and run,也不会只有两个变量需要优化,反卷积的时候待推测的组织的比例可能有10种,比如我利用 cfDNA 上的甲基化去推测各个组织的贡献比例的时候就有好多种组织(图9)。

cfDNA
图9 cfDNA的反卷积

除此之外,在梯度下降找到最优解的时候还存在一个问题就是局部最优解,我目前能想到的解决办法是使用stochastic gradient descent(随机梯度下降)方法。随机梯度下降与batch gradient descent(批量梯度下降)相比,随机梯度下降更随机(随机选择一个样本计算梯度),在一定程度上能够帮助逃离较差的局部最优解,避免卡在平坦区域和鞍点上。

在 AI 可解释性领域(方面)会用到梯度分析法:
当模型训练完成(参数固定下来之后), 此时,参数不再是自变量,而输入数据变成了自变量,此时输入数据为 A, 然后得到loss, loss对输入数据A求导,得到loss关于A的梯度(这里的梯度已经不是梯度下降时指示参数更新方向的用途了,而是计算loss对A的敏感程度了,可以理解成斜率),如果此时梯度很大,说明A很重要,A改变一点loss会改变很大。一般还会做这个操作:A * A_grad,因为如果 A 的梯度很大,但是 A 本身的值很小,那么影响说不定也可以忽略不计,所以需要与自身的值相乘来得到一个更有价值的信息。除了与自身值相乘外,还有种方法叫:积分梯度,这个涉及到了路径积分,很有意思哦。

最近好久没更新,心血来潮,更新了一下,梯度下降算是机器学习/深度学习领域的基石,其核心是方向导数和链式法则。学习道路上总是充满着好奇和疑惑,想起罗素的一句话:
“The trouble with the world is that the stupid are cocksure and the intelligent are full of doubt.”
所以有疑惑的人就是聪明人,我是聪明人,如是而已,哈哈哈。